Dynamometer Grip Strength Normative Data - Fitness Testing For Sport And Exercise Advantages Disadvantages Of Fitness Tests For Components Of Fitness - Males normally can generate about 46 kg of force, and females about 23 kg.

Dynamometer Grip Strength Normative Data - Fitness Testing For Sport And Exercise Advantages Disadvantages Of Fitness Tests For Components Of Fitness - Males normally can generate about 46 kg of force, and females about 23 kg.. Reliability and validity of grip and pinch strength evaluations, the journal of hand surgery 9a: The jamar dynamometer was used to measure grip strength and a pinch gauge was used. This study provides normative values for hand grip strength measured with a bulb dynamometer in children aged 6 to 13 years. Pinch strength meters help users determine a subject's functional hand/ pinch strength. The following are the norm values provided with the camry electronic handgrip dynamometer , useful for rating grip strength values for a wide range of age groups and for tracking improvements with strength training and during rehabilitation.

Standardized procedure for positioning of instrument when using normative data is the following: Below you can find the norm values provided for the takei handgrip dynamometer which is produced in japan. However, there is a dearth of information on its ability to reproduce results and a scarcity of norms to which patient data can be compared. Dynamometer was used to measure grip strength and a pinch gauge to measure tip, key, and palmar pinch. Averages also exist for different types of grip in different positions.

Strength Testing Handgrip Dynamometer Ppt Download
Strength Testing Handgrip Dynamometer Ppt Download from slideplayer.com
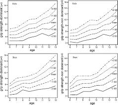
We have combined data from 12 general population studies conducted in gb to produce normative data for grip strength across the life course. Revised grip strength values with the jamar dynamometer for the dominant and non‐dominant hands combined in healthy females (a) (n = 355, 90.1% right‐handed and males (b) (n = 365, 86.6% right‐handed). Key words:grip strength, jamar dynamometer, normative values. The following are the norm values provided with the camry electronic handgrip dynamometer , useful for rating grip strength values for a wide range of age groups and for tracking improvements with strength training and during rehabilitation. Therefore, the objective of this study was to develop normative data for maximum grip strength of persons aged 60 years and older. Have client seated comfortably, facing ot, with shoulder adducted, and elbow flexed to 90 degrees (parallel to ground). This study provides normative values for hand grip strength measured with a bulb dynamometer in children aged 6 to 13 years. The grip strength of 90% of women is lower than that of 95% of men.

1) subject is seated with back, pelvis, and knees as close to 90 degrees as possible.

We have combined data from 12 general population studies conducted in gb to produce normative data for grip strength across the life course. The following are the norm values provided with the camry electronic handgrip dynamometer , useful for rating grip strength values for a wide range of age groups and for tracking improvements with strength training and during rehabilitation. The harpenden(r) dynamometer is a new mechanical device used to assess grip strength; There is plenty of information as to why grip strength measurement is important. Revised grip strength values with the jamar dynamometer for the dominant and non‐dominant hands combined in healthy females (a) (n = 355, 90.1% right‐handed and males (b) (n = 365, 86.6% right‐handed). Below you can find the norm values provided for the takei handgrip dynamometer which is produced in japan. A grip strength dynamometer is useful for testing your hand grip strength. Grip strength measurement provides an objective index about the functional integrity of the upper extremities. The grip strength of 90% of women is lower than that of 95% of men. There has been extensive medical and ergonomic research looking at grip strength. Specialized grip strength development for a strongman training program. Find more information and user manuals for hand dynamometers. Dynamometer was used to measure grip strength and a pinch gauge to measure tip, key, and palmar pinch.

Dynamometer (grip) and pinch gauge testing grip strength a dynamometer provides objective grip strength data. Below you can find the norm values provided for the takei handgrip dynamometer which is produced in japan. The harpenden(r) dynamometer is a new mechanical device used to assess grip strength. Normative data for grip strength of elderly men and women. Mathiowetz v., weber k, volland g., kashman n.

1 2 A Components Of Fitness Ppt Video Online Download
1 2 A Components Of Fitness Ppt Video Online Download from slideplayer.com
The following are the norm values provided with the camry electronic handgrip dynamometer , useful for rating grip strength values for a wide range of age groups and for tracking improvements with strength training and during rehabilitation. The jamar dynamometer was used to measure grip strength and a pinch gauge was used. Pinch strength meters help users determine a subject's functional hand/ pinch strength. The upper lines in each graph correspond to the calculated median gs values. 1) subject is seated with back, pelvis, and knees as close to 90 degrees as possible. Normative data exists for grip and pinch strength testing.26 in addition to assess grip strength, the jamar dynamometer is recommended by the american society for surgery of the. Available from 500 to 100,000 lbs in stock, fast shipping, low prices Click to share on twitter (opens in new window)

Normative data for adults. arch phys med rehabilitation 66:

Normative grip strength data chart for children and adults using the jamar plus digital hand dynamometer. Other personal factors only minimally influenced final values. Revised grip strength values with the jamar dynamometer for the dominant and non‐dominant hands combined in healthy females (a) (n = 355, 90.1% right‐handed and males (b) (n = 365, 86.6% right‐handed). Dynamometer was used to measure grip strength and a pinch gauge to measure tip, key, and palmar pinch. This study provides revised normative gs values for the jamar dynamometer. According to hunter, grip strength of only 4 kg is required to perform 90 percent of adl activities. Normative data of grip strength in kg force for all subjects by age table handgrip strength norms in kg for hungarian youth table jamar hydrolic pinch gauge norms and testing protocols share this: Baseline digital dynamometer normative data @inproceedings{meek2017baselinedd, title={baseline digital dynamometer normative data}, author={chelsey l. Click to share on twitter (opens in new window) 1) subject is seated with back, pelvis, and knees as close to 90 degrees as possible. The upper lines in each graph correspond to the calculated median gs values. These centile values have the potential to inform the clinical assessment of grip strength which is recognised as an important part of the identification of people with sarcopenia and frailty. Normative data for grip strength of elderly men and women.

A dynamometer was used to measure grip strength and a pinch gauge to measure tip, key, and palmar pinch. 9, 15 grip strength, assessed with baseline bulb dynamometer, showed age and gender differences in p50 of approximately 0.5 psi as age increased 1 year. Grip strength measurement provides an objective index about the functional integrity of the upper extremities. This study provides normative values for hand grip strength measured with a bulb dynamometer in children aged 6 to 13 years. Revised grip strength values with the jamar dynamometer for the dominant and non‐dominant hands combined in healthy females (a) (n = 355, 90.1% right‐handed and males (b) (n = 365, 86.6% right‐handed).

Percentage Difference Of Hand Dimensions And Their Correlation With Hand Grip And Pinch Strength Among Schoolchildren In Saudi Arabia Alahmari K A Kakaraparthi V N Reddy R S Silvian Ps Ahmad I
Percentage Difference Of Hand Dimensions And Their Correlation With Hand Grip And Pinch Strength Among Schoolchildren In Saudi Arabia Alahmari K A Kakaraparthi V N Reddy R S Silvian Ps Ahmad I from www.njcponline.com
Track your shipment from the moment you order to delivery with the rogue shipping system! There has been extensive medical and ergonomic research looking at grip strength. This study provides normative values for hand grip strength measured with a bulb dynamometer in children aged 6 to 13 years. Desrosiers j, bravo g, hébert r, dutil e. The grip dynamometer has 5 adjustable hand placements. Pinch strength evaluation can be a powerful indicator of a person's overall health. Therefore, the objective of this study was to develop normative data for maximum grip strength of persons aged 60 years and older. Revised grip strength values with the jamar dynamometer for the dominant and non‐dominant hands combined in healthy females (a) (n = 355, 90.1% right‐handed and males (b) (n = 365, 86.6% right‐handed).

Pinch strength evaluation can be a powerful indicator of a person's overall health.

According to hunter, grip strength of only 4 kg is required to perform 90 percent of adl activities. The harpenden(r) dynamometer is a new mechanical device used to assess grip strength. Grip strength dynamometers are useful for testing hand grip strength in a quick and easy way. Normative data of grip strength in kg force for all subjects by age table handgrip strength norms in kg for hungarian youth table jamar hydrolic pinch gauge norms and testing protocols share this: Pinch strength evaluation can be a powerful indicator of a person's overall health. Standardized procedure for positioning of instrument when using normative data is the following: Applicable revised normative values for the jamar dynamometer, stratified for age and gender, are presented. These centile values have the potential to inform the clinical assessment of grip strength which is recognised as an important part of the identification of people with sarcopenia and frailty. The upper lines in each graph correspond to the calculated median gs values. 1) subject is seated with back, pelvis, and knees as close to 90 degrees as possible. Mathiowetz v., weber k, volland g., kashman n. To capture this valuable data, practitioners user various pinch strength meters or pinch dynamometers. The jamar dynamometer was used to measure grip strength and a pinch gauge was used.

There has been extensive medical and ergonomic research looking at grip strength dynamometer. However, there is a dearth of information on its ability to reproduce results and a scarcity of norms to which patient data can be compared.

Comments